传质系数(kLa)
在生物反应器放大中的核心作用
在细胞培养生物反应器的放大过程中,确保氧气和二氧化碳等气体的高效传递至关重要。体积氧传质系数(kLaO2) 是衡量氧气从气相到液相传递效率的关键参数,直接影响细胞的生长、代谢和产物表达。kLa 由两部分组成:
kL:气液界面的传质系数,反映分子扩散速率;
a:单位液体体积中的气液界面面积。
成功放大的核心挑战在于:
如何在规模扩大后
仍能准确预测并维持适宜的 kLa 值。
kLa 的理论预测模型
01、理论基础
早期模型基于双膜理论,后续发展为表面更新理论和渗透理论。Higbie 的渗透理论假设气体在液膜中的传递为非稳态扩散过程,接触时间(te)是影响 kL 的关键因素。
02、湍流的影响
kL 强烈依赖于局部湍流动能耗散率(ε)。在实际反应器中,直接测量界面处的 ε 几乎不可能,因此常使用平均动能耗散率(εavg) 作为替代参数。其计算公式为:

等式一
其中 P 为通气功率,V 为液体体积。
03、通气对功率的影响
通气会降低搅拌功率,其关系可表示为:

等式二
其中 P₀ 为不通气功率,N 为搅拌速度,Q 为气体流速,C 和 β 为与搅拌器配置相关的常数。
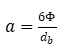
04、界面面积(a)的估算
a 与气体滞留量(Φ)和气泡平均直径(db)相关:

等式三
Φ 和 db 又受到操作条件、流体性质与反应器结构的共同影响。
kLa 的经验预测方法
由于理论模型的局限性,工业中广泛采用经验相关性来预测 kLa。
01、van’t Riet 通用模型
最常用的形式为:

等式四
P/V:单位体积功率输入;
Vs:表观气速;
K、α、β:与系统特性相关的常数(α 和 β 通常介于 0.2–1.0 之间)。
02、经验模型的局限性
介质依赖性:培养基中的糖类、氨基酸、表面活性剂等会显著改变 kLa,而多数模型基于空气-水体系;
规模效应:实验室反应器通常处于全罐湍流,而大型反应器中湍流仅集中于搅拌区,导致小模型高估实际传质能力;
能量输入效率递减:由于 α 和 β 均小于 1,仅靠提高搅拌或通气来提升 kLa 的效率会逐渐降低。
放大过程中的关键考量
01、模型选择
微生物发酵与细胞培养在氧气需求和剪切敏感性方面存在显著差异,因此在实际应用中常选用不同的搅拌桨类型,并建立相应的模型进行实验模拟。由于微生物发酵系统通常依赖较高的能量输入和较高的kLa(氧传质系数),这类系统往往不适用于对剪切力较为敏感的细胞培养过程。因此,在模型放大或缩小的过程中,必须结合实际应用场景选择合适的搅拌器类型,并借助计算流体力学(CFD)及局部参数评估,从而提高对过程预测的准确性。
02、气体分布与滞留
气体滞留量(Φ)和气泡尺寸分布在放大中变化显著,故需优化分布器设计(大/中/微泡),平衡传质与剪切风险。
03、CO₂ 的协同控制
CO₂ 既是代谢底物也是产物,其传递与去除同样重要:
高 pCO₂ 会抑制细胞生长;
良好的 pH 监控与联动控制(CO₂、碱泵、酸泵)是维持培养稳定性的关键。
控制策略常采用PID控制器级联各模块(搅拌、转速、通气、酸碱泵)实现Do、pH的在线调控,提高工艺稳定性。
只有通过理论、经验与实测数据的结合,才能建立稳健的放大路径,确保细胞培养过程从实验室到生产规模的成功转化。
CytoLinX® GB台式玻璃生物反应器

图1:CytoLinX® GB台式玻璃生物反应器
— 特点 —
可配置性强:灵活性强,适配度高,更多选择让工艺开发和表征更加灵活(并可根据需求提供/支持工艺放大的各种玻璃罐体积)。
应用领域广:可根据客户的特殊工艺要求制作,同样适用于ADC和mRNA领域。
耐用性强:罐体采用高硼硅玻璃,保证耐高温,耐腐蚀性好,易清洁。
稳定性高:设备控制稳定,温度,DO,pH联动控制效果好。
选择性多:根据不同工艺大泡,微泡均可选择,满足多种工艺要求。
CytoLinX® BR一次性罐体式生物反应器

图2:CytoLinX® BR一次性罐体式生物反应器
— 特点 —
罐体形状结构良好,功能齐全,单个控制柜可通过插拔控制多台反应罐,实现成本的大幅度降低(根据工艺需求可提供不同大小反应罐体积,支持工艺放大);
采用稳定的PCS7系统,符合ISA 88控制系统,可实现全厂控制;
软件设计符合21 CFR Part 11,界面用户友好;
配置灵活,可根据用户需求进行部分定制;
设备配件均采用进口高端品牌,并经过出厂检测保证正常使用;
配套使用一次性生物反应袋底通大泡、中泡、微泡可选,满足多种工艺需求。
参考文献 Chaudhry, M.A. Lessons in Bioreactor Scale-Up: Theoretical and Empirical Correlations for Predicting the Mass-Transfer Coefficient in Stirred-Tank Bioreactors. BioProcess International. https://www.bioprocessintl.com
即刻咨询